
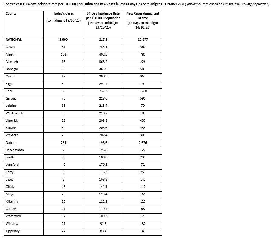
32 cases of Covid-19 have been confirmed in Waterford over the last 24 hours.
It’s the largest number of new cases in a single day in Waterford and pushes the 14-day incidence rate above 100 for the first time.
The 14-day incidence rate per 100,000 population is now 109.3 up from 82.6 yesterday.
However, the national rate, at 217.9 is almost twice the figure in Waterford.
127 cases have been confirmed in Waterford over the last fortnight, 90 of those cases are within the past 7 days.
National
There are 1,000 new cases of Covid-19 in the Republic of Ireland and three more deaths.
254 of the cases are in Dublin, with 102 in Meath, 88 in Cork, 81 in Cavan and 75 in Galway.
The remaining 400 are spread across 20 different counties.
There have been almost 2,300 cases confirmed across the island of Ireland today, with a record 1,299 in the North.
As of 2 pm today 246 COVID-19 patients are hospitalised, of which 30 are in ICU. 13 additional hospitalisations in the past 24 hours.
Dr. Tony Holohan, Chief Medical Officer, Department of Health said; “Case numbers are continuing to rise. Right now, we need everyone to cut their social contacts to an absolute minimum. Every time you physically interact with another person, you are providing an opportunity for the virus to spread.”











