
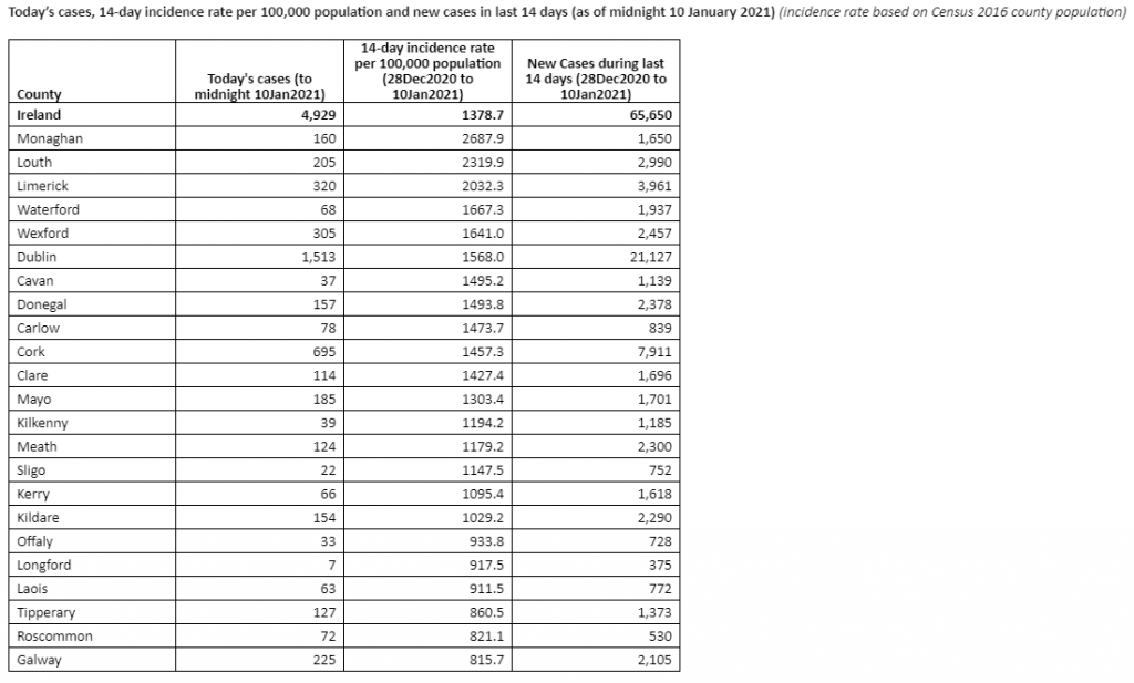
There are 68 additional cases of Covid-19 in Waterford according to this evening’s figures released by the Department of Health.
That’s a reduction of 252 cases on yesterday’s figure of 320.
However, Waterford still has the fourth-highest incidence rate of the virus in the country.
The incidence rate per 100,000 of the population is 1,667.3 and there have been 1,937 cases reported in Waterford over the past 14-days.
Waterford is now followed by Wexford, who has the fifth-highest incidence rate in the country and recorded 305 cases this evening.

As of 2pm today, 1,582 COVID-19 patients are hospitalised, of which 146 are in ICU. 156 additional hospitalisations in the past 24 hours.
Dr Tony Holohan, Chief Medical Officer, Department of Health said: “While we are seeing the first glimmer of hope in respect of our daily case figures and positivity rates, the situation in hospitals and ICUs around the country continues to worsen day on day.
“We know that hospitalisations occur some weeks after a confirmed case is notified, and mortality after that again. That means we are unfortunately set for a period of time where the situation in our hospitals gets worse before it gets better.”
“The best way forward now is for all of us to stay at home. Staying at home and cutting your contacts right down to only those in your immediate household is the one vital way we will protect our healthcare system as it struggles with the burdens brought on by this surge in COVID-19 infections.”
Dr Michael Power, HSE Clinical Lead for Intensive Care, said: “Over the past weeks, we have seen a swift and sharp spike in admissions into critical care units across the country. As of this morning, we have 146 people sadly in ICU. This is nearing the springtime peak of 155 people in critical care.
The potential long-term impacts on these patients’ health is stark and significant. ICUs are not where we want anyone to be. They are our very last line of defence against COVID-19. The best way we can protect our ICU capacity and those that work in them is to stay at home.”
Meanwhile, the South/South West Hospital Group which includes University Hospital Waterf0rd has said emergency departments and intensive care units across the group are busy and that all elective work has been suspended.
However, they’ve moved to reassure people that critical care capacity is actively managed as a group resource and that with inter-hospital transfer patients always have access to the best possible care.
They added that the necessary arrangements are in place across all sites to upscale Critical Care capacity should that be required.
Patients attending Emergency Departments may experience delays due to the high numbers of people presenting with Covid-19 symptoms and staff who are unavailable for virus-related reasons.
The group has asked people to contact their GP or out of hours service in the first instance.
They’ve acknowledged that staying at home and staying isolated will be very difficult but that people can save lives by doing so.








