
Funding for the sports sector in Waterford has been welcomed in sporting and political circles.
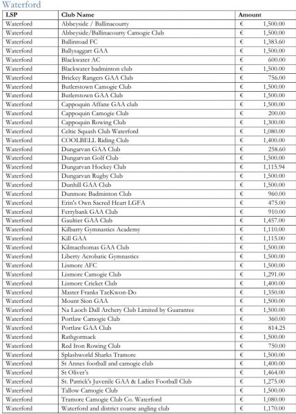
€67,000 is being shared between 55 clubs around the county as part of an €85 million funding package for the Irish sport sector which has been significantly impacted by the Covid-19 pandemic.
The funding will be channelled through the Government’s Local Sports Partnership Small Grant Scheme with amounts varying between a few hundred to 15 hundred euro.
A further €35,000is being allocated to the county as part of an innovation project.


Speaking after the announcement by his Green party colleague Minister for Sport Catherine Martin, Waterford TD Marc Ó Cathasaigh said:
“We all know of small sporting clubs who rely on donations and membership fees to survive and most of them saw a significant downturn in their income while their costs will have increased due to having to provide sanitiser, signage and PPE as well as other costs associated with COVID-19.”
“I’m particulary pleased to see that Sport Ireland has ring-fenced a proportion of funding for the Disability Sport Sector… In addition, funding will be provided to Age & Opportunity and Ireland Active to deliver projects for older adults, another group which has been severely affected by COVID-19.”
The €85m funding will be administered through a number of schemes which will see funding for Gaelic Games (GAA, Camogie & Ladies Gaelic Football) and Inter-County Championships; funding for IRFU National Governing Body Provinces and club network and funding to the FAI to include a ring-fenced amount to support clubs. It will also see the creation of a National Governing Body Resilience Fund which will support 20 National Governing Bodies to cover loss of income from events, ticket sales, sponsorship, affiliation & membership fees, courses and services and the additional costs arising from the implementation of social distancing and Covid-19 protocols.









